24  Regionalization

Code
import contextily as ctx
import geopandas as gpd
import matplotlib.pyplot as plt
from geosnap import DataStore
from geosnap import analyze as gaz
from geosnap import io as gio
from geosnap import visualize as gvz
from IPython.display import Image

%load_ext watermark
%watermark -a  'eli knaap' -iv -d -u
OMP: Info #276: omp_set_nested routine deprecated, please use omp_set_max_active_levels instead.
Author: eli knaap

Last updated: 2025-04-08

matplotlib: 3.10.0
IPython   : 8.31.0
geopandas : 1.0.1
contextily: 1.6.2
geosnap   : 0.14.1.dev14+g0443e2a.d20250103

As with geodemographic clustering, when carrying out a regionalization exercise, we are searching for groups of observations (census tracts in this case) which are similar in socioeconomic and demographic composition. If the goal of geodemographics is to identify neighborhood types, that could exist anywhere in the region, the goal of regionalization is to identify specific neighborhoods that exist at a distinct place in the region

Following that concept, we can use constrained clustering to develop an empirical version of geographically-bounded neighborhoods, where the neighborhoods are defined by internal social homogeneity. This is similar to the historic and well-defined neighborhood zones in places like Chicago and Pittsburgh. If your goal were to try and delineate neighborhoods in a bespoke region as the LA Times tried to do, regionalization would be a data-driven way to do so.

Code
Image(
    "https://upload.wikimedia.org/wikipedia/commons/b/b3/Chicago_neighborhoods_map.png",
    width=700,
)

https://en.wikivoyage.org/wiki/File:Chicago_neighborhoods_map.png

Code
Image(
    "https://visit-pittsburgh-2023.s3.amazonaws.com/images/archive/2020-Neighborhood-Map2.jpg",
    width=700,
)

https://www.visitpittsburgh.com/neighborhoods/

Code
datasets = DataStore()
la = gio.get_acs(datasets, county_fips="06037", years=2021, level="tract")
la = la.to_crs(la.estimate_utm_crs())

la[["median_household_income", "geometry"]].explore(
    "median_household_income",
    scheme="quantiles",
    k=8,
    cmap="magma",
    tiles="CartoDB Positron",
)

columns = [
    "median_household_income",
    "median_home_value",
    "p_edu_college_greater",
    "p_edu_hs_less",
    "p_nonhisp_white_persons",
    "p_nonhisp_black_persons",
    "p_hispanic_persons",
    "p_asian_persons",
]
la.dropna(subset=columns).plot()
/Users/knaaptime/Dropbox/projects/geosnap/geosnap/io/util.py:273: UserWarning: Unable to find local adjustment year for 2021. Attempting from online data
  warn(
/Users/knaaptime/Dropbox/projects/geosnap/geosnap/io/constructors.py:217: UserWarning: Currency columns unavailable at this resolution; not adjusting for inflation
  warn(

24.1 Cross-Sectional Regionalization

Code
la_ward_reg, la_ward_model = gaz.regionalize(
    gdf=la,
    method="ward_spatial",
    n_clusters=25,
    columns=columns,
    return_model=True,
    spatial_weights="queen",
)

la_ward_reg[columns + ["geometry", "ward_spatial"]].explore(
    "ward_spatial", categorical=True, cmap="Accent", tiles="CartoDB Positron"
)
/Users/knaaptime/Dropbox/projects/geosnap/geosnap/analyze/geodemo.py:406: FutureWarning: `use_index` defaults to False but will default to True in future. Set True/False directly to control this behavior and silence this warning
  w0 = W.from_dataframe(df, **weights_kwargs)
/Users/knaaptime/miniforge3/envs/urban_analysis/lib/python3.12/site-packages/libpysal/weights/contiguity.py:347: UserWarning: The weights matrix is not fully connected: 
 There are 4 disconnected components.
 There are 2 islands with ids: 568, 1944.
  W.__init__(self, neighbors, ids=ids, **kw)
/Users/knaaptime/Dropbox/projects/geosnap/geosnap/analyze/geodemo.py:429: FutureWarning: Setting an item of incompatible dtype is deprecated and will raise in a future error of pandas. Value '['4' '4' '4' ... nan nan nan]' has dtype incompatible with float64, please explicitly cast to a compatible dtype first.
  gdf.update(clusters)
Make this Notebook Trusted to load map: File -> Trust Notebook

Unlike the general clustering case, regionalization algorithms can only group together observations that are connected via a spatial connectivity graph. That means the map is much more distinctive, but the resulting clusters are usually far less homogenous internally than the unconstrained case.

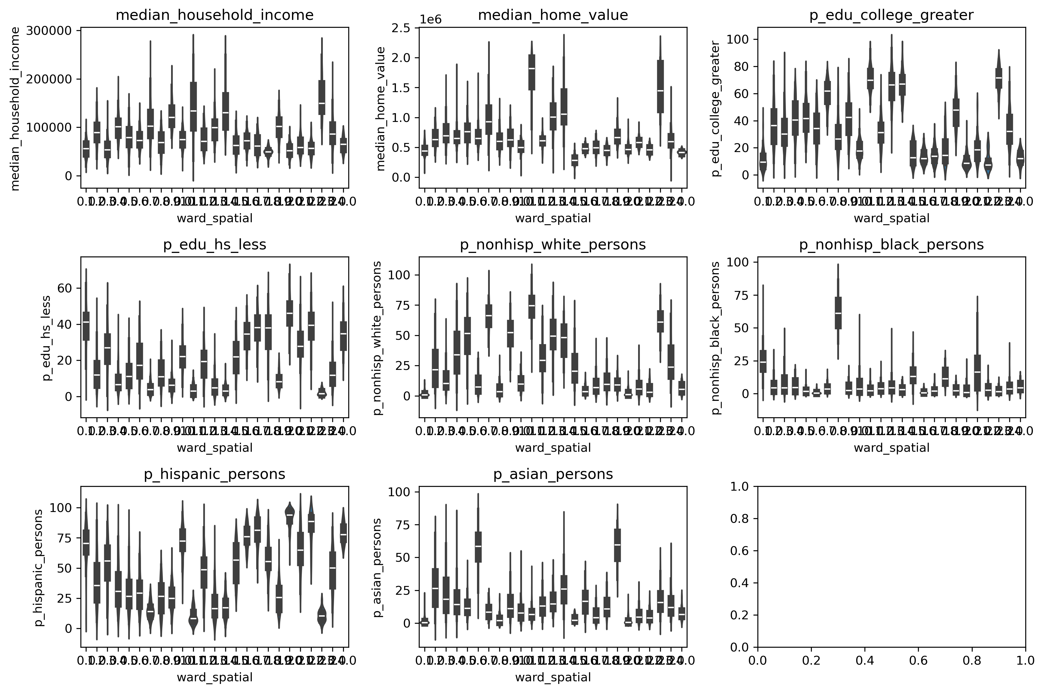
To understand what the clusters are identifying, another data visualisation technique is useful. Here, we rely on the Tufte-ian principle of “small multiples”, and create a set of violin plots that show how each variable is distributed across each of the clusters. Each of the inset boxes shows a different variable, with cluster assignments on the x-axis, and the variable itself on the y-axis The boxplot in the center shows the median and IQR, and the “body” of the “violin” is a kernel-density estimate reflected across the x-axis. In short, the fat parts of the violin show where the bulk of the observations are located, and the skinny “necks” show the long tails.

Code
gvz.plot_violins_by_cluster(la_ward_reg, columns, cluster_col="ward_spatial")
array([<Axes: title={'center': 'median_household_income'}, xlabel='ward_spatial', ylabel='median_household_income'>,
       <Axes: title={'center': 'median_home_value'}, xlabel='ward_spatial', ylabel='median_home_value'>,
       <Axes: title={'center': 'p_edu_college_greater'}, xlabel='ward_spatial', ylabel='p_edu_college_greater'>,
       <Axes: title={'center': 'p_edu_hs_less'}, xlabel='ward_spatial', ylabel='p_edu_hs_less'>,
       <Axes: title={'center': 'p_nonhisp_white_persons'}, xlabel='ward_spatial', ylabel='p_nonhisp_white_persons'>,
       <Axes: title={'center': 'p_nonhisp_black_persons'}, xlabel='ward_spatial', ylabel='p_nonhisp_black_persons'>,
       <Axes: title={'center': 'p_hispanic_persons'}, xlabel='ward_spatial', ylabel='p_hispanic_persons'>,
       <Axes: title={'center': 'p_asian_persons'}, xlabel='ward_spatial', ylabel='p_asian_persons'>,
       <Axes: >], dtype=object)

Notice here that the violin plots are much harder to distinguish. That is, by enforcing a contiguity constraint, many census tracts are grouped with other tracts that they are closest to, rather than those they are most similar to in multivariate attribute space. This is reflected in the silhouette scores as well.

Unlike the general clustering case, regionalization algorithms return a dictionary of ModelResults classes (one for each unique time period in the dataset) because it is not possible to create a pooled regionalization solution using data from multiple time periods

Code
la_ward_model
{2021: <geosnap.analyze._model_results.ModelResults at 0x338f8b350>}
Code
la_ward_model[2021].plot_silhouette()

This is a poor silhouette score indeed–the overall score for the solution is negative, meaning most tracts are more similar (in attributes) to tracts in another cluster than the one they are assigned. But a silhouette score is not the ideal metric in this case, because attribute similarity is no longer the only objective the model is trying to achieve.

Code
la_ward_model[2021].plot_silhouette_map(figsize=(9, 9))
/Users/knaaptime/Dropbox/projects/geosnap/geosnap/visualize/mapping.py:170: UserWarning: `proplot` is not installed.  Falling back to matplotlib
  warn("`proplot` is not installed.  Falling back to matplotlib")

Rather than searching for unique types, regardless of where they are in the study area (which is what general clustering algorithms focus on), regionalization algorithms arguable search for unique places in the study area, where uniqueness is defined by the concentration of attribute similarity in space. That is, we are looking for places that are geographically distinct from their neighbors, where members of a single region are relatively similar to one another, but distinctly different from those nearby.

To operationalize these concepts, we leverage the notion of a geosilhouette, which blends the roles of geographic and attribute similarity into a single metric. There are two types of geosilhouettes, depending on whether we are most interested in differences between region cores (path silhouettes) or region boundaries (boundary silhouettes)

Code
la_ward_model[2021].boundary_silhouette.boundary_silhouette.mean()
0.09576599634910776
Code
la_ward_model[2021].plot_boundary_silhouette(figsize=(8, 8))
/Users/knaaptime/Dropbox/projects/geosnap/geosnap/visualize/mapping.py:170: UserWarning: `proplot` is not installed.  Falling back to matplotlib
  warn("`proplot` is not installed.  Falling back to matplotlib")
/Users/knaaptime/Dropbox/projects/mapclassify/mapclassify/classifiers.py:1686: UserWarning: Not enough unique values in array to form 6 classes. Setting k to 4.
  self.bins = quantile(y, k=k)

Code
la_ward_model[2021].path_silhouette.path_silhouette.mean()
0.04836626548915017
Code
la_ward_model[2021].plot_path_silhouette(figsize=(8, 8))
/Users/knaaptime/Dropbox/projects/geosnap/geosnap/visualize/mapping.py:170: UserWarning: `proplot` is not installed.  Falling back to matplotlib
  warn("`proplot` is not installed.  Falling back to matplotlib")

There are also many regionalization algorithms to choose from (see the PySAL spopt package for more information on each of them)

Code
cluster_types = [
    "kmeans_spatial",
    "ward_spatial",
    "skater",
    "spenc",
    "azp",
]

from sklearn.preprocessing import MinMaxScaler

f, ax = plt.subplots(2, 3, figsize=(11, 10))
ax = ax.flatten()

for i, k in enumerate(cluster_types):
    df = gaz.regionalize(
        gdf=la,
        method=k,
        columns=columns,
        n_clusters=25,
        scaler=MinMaxScaler(),
        weights_kwargs=dict(use_index=True, silence_warnings=True),
        region_kwargs=dict(gamma=1),
    )
    df.to_crs(3857).sort_values(k).plot(k, categorical=True, figsize=(7, 7), ax=ax[i])
    ax[i].axis("off")
    ax[i].set_title(k, fontsize=14)
    ctx.add_basemap(ax=ax[i], source=ctx.providers.CartoDB.Positron)
    plt.tight_layout()
/Users/knaaptime/Dropbox/projects/geosnap/geosnap/analyze/geodemo.py:429: FutureWarning: Setting an item of incompatible dtype is deprecated and will raise in a future error of pandas. Value '['12' '12' '12' ... nan nan nan]' has dtype incompatible with float64, please explicitly cast to a compatible dtype first.
  gdf.update(clusters)
/Users/knaaptime/Dropbox/projects/geosnap/geosnap/analyze/geodemo.py:429: FutureWarning: Setting an item of incompatible dtype is deprecated and will raise in a future error of pandas. Value '['5' '5' '5' ... nan nan nan]' has dtype incompatible with float64, please explicitly cast to a compatible dtype first.
  gdf.update(clusters)
/Users/knaaptime/Dropbox/projects/geosnap/geosnap/analyze/geodemo.py:429: FutureWarning: Setting an item of incompatible dtype is deprecated and will raise in a future error of pandas. Value '['0' '0' '0' ... nan nan nan]' has dtype incompatible with float64, please explicitly cast to a compatible dtype first.
  gdf.update(clusters)
/Users/knaaptime/Dropbox/projects/geosnap/geosnap/analyze/geodemo.py:429: FutureWarning: Setting an item of incompatible dtype is deprecated and will raise in a future error of pandas. Value '['24' '24' '24' ... nan nan nan]' has dtype incompatible with float64, please explicitly cast to a compatible dtype first.
  gdf.update(clusters)
/Users/knaaptime/Dropbox/projects/geosnap/geosnap/analyze/geodemo.py:429: FutureWarning: Setting an item of incompatible dtype is deprecated and will raise in a future error of pandas. Value '['15.0' '15.0' '16.0' ... nan nan nan]' has dtype incompatible with float64, please explicitly cast to a compatible dtype first.
  gdf.update(clusters)

Again, the colors are arbitrary and the patterns (i.e. which tracts get grouped together in a single color) are the important parts

Code
ks_best, ks_table = gaz.find_region_k(
    gdf=la,
    method="ward_spatial",
    columns=columns,
    min_k=2,
    max_k=50,
    return_table=True,
    weights_kwargs=dict(use_index=True, silence_warnings=True),
)
/Users/knaaptime/Dropbox/projects/geosnap/geosnap/analyze/geodemo.py:429: FutureWarning: Setting an item of incompatible dtype is deprecated and will raise in a future error of pandas. Value '['1' '1' '1' ... nan nan nan]' has dtype incompatible with float64, please explicitly cast to a compatible dtype first.
  gdf.update(clusters)
/Users/knaaptime/Dropbox/projects/geosnap/geosnap/analyze/geodemo.py:429: FutureWarning: Setting an item of incompatible dtype is deprecated and will raise in a future error of pandas. Value '['1' '1' '1' ... nan nan nan]' has dtype incompatible with float64, please explicitly cast to a compatible dtype first.
  gdf.update(clusters)
/Users/knaaptime/Dropbox/projects/geosnap/geosnap/analyze/geodemo.py:429: FutureWarning: Setting an item of incompatible dtype is deprecated and will raise in a future error of pandas. Value '['1' '1' '1' ... nan nan nan]' has dtype incompatible with float64, please explicitly cast to a compatible dtype first.
  gdf.update(clusters)
/Users/knaaptime/Dropbox/projects/geosnap/geosnap/analyze/geodemo.py:429: FutureWarning: Setting an item of incompatible dtype is deprecated and will raise in a future error of pandas. Value '['0' '0' '0' ... nan nan nan]' has dtype incompatible with float64, please explicitly cast to a compatible dtype first.
  gdf.update(clusters)
/Users/knaaptime/Dropbox/projects/geosnap/geosnap/analyze/geodemo.py:429: FutureWarning: Setting an item of incompatible dtype is deprecated and will raise in a future error of pandas. Value '['4' '4' '4' ... nan nan nan]' has dtype incompatible with float64, please explicitly cast to a compatible dtype first.
  gdf.update(clusters)
/Users/knaaptime/Dropbox/projects/geosnap/geosnap/analyze/geodemo.py:429: FutureWarning: Setting an item of incompatible dtype is deprecated and will raise in a future error of pandas. Value '['1' '1' '1' ... nan nan nan]' has dtype incompatible with float64, please explicitly cast to a compatible dtype first.
  gdf.update(clusters)
/Users/knaaptime/Dropbox/projects/geosnap/geosnap/analyze/geodemo.py:429: FutureWarning: Setting an item of incompatible dtype is deprecated and will raise in a future error of pandas. Value '['3' '3' '3' ... nan nan nan]' has dtype incompatible with float64, please explicitly cast to a compatible dtype first.
  gdf.update(clusters)
/Users/knaaptime/Dropbox/projects/geosnap/geosnap/analyze/geodemo.py:429: FutureWarning: Setting an item of incompatible dtype is deprecated and will raise in a future error of pandas. Value '['1' '1' '1' ... nan nan nan]' has dtype incompatible with float64, please explicitly cast to a compatible dtype first.
  gdf.update(clusters)
/Users/knaaptime/Dropbox/projects/geosnap/geosnap/analyze/geodemo.py:429: FutureWarning: Setting an item of incompatible dtype is deprecated and will raise in a future error of pandas. Value '['0' '0' '0' ... nan nan nan]' has dtype incompatible with float64, please explicitly cast to a compatible dtype first.
  gdf.update(clusters)
/Users/knaaptime/Dropbox/projects/geosnap/geosnap/analyze/geodemo.py:429: FutureWarning: Setting an item of incompatible dtype is deprecated and will raise in a future error of pandas. Value '['3' '3' '3' ... nan nan nan]' has dtype incompatible with float64, please explicitly cast to a compatible dtype first.
  gdf.update(clusters)
/Users/knaaptime/Dropbox/projects/geosnap/geosnap/analyze/geodemo.py:429: FutureWarning: Setting an item of incompatible dtype is deprecated and will raise in a future error of pandas. Value '['3' '3' '3' ... nan nan nan]' has dtype incompatible with float64, please explicitly cast to a compatible dtype first.
  gdf.update(clusters)
/Users/knaaptime/Dropbox/projects/geosnap/geosnap/analyze/geodemo.py:429: FutureWarning: Setting an item of incompatible dtype is deprecated and will raise in a future error of pandas. Value '['3' '3' '3' ... nan nan nan]' has dtype incompatible with float64, please explicitly cast to a compatible dtype first.
  gdf.update(clusters)
/Users/knaaptime/Dropbox/projects/geosnap/geosnap/analyze/geodemo.py:429: FutureWarning: Setting an item of incompatible dtype is deprecated and will raise in a future error of pandas. Value '['1' '1' '1' ... nan nan nan]' has dtype incompatible with float64, please explicitly cast to a compatible dtype first.
  gdf.update(clusters)
/Users/knaaptime/Dropbox/projects/geosnap/geosnap/analyze/geodemo.py:429: FutureWarning: Setting an item of incompatible dtype is deprecated and will raise in a future error of pandas. Value '['1' '1' '1' ... nan nan nan]' has dtype incompatible with float64, please explicitly cast to a compatible dtype first.
  gdf.update(clusters)
/Users/knaaptime/Dropbox/projects/geosnap/geosnap/analyze/geodemo.py:429: FutureWarning: Setting an item of incompatible dtype is deprecated and will raise in a future error of pandas. Value '['1' '1' '1' ... nan nan nan]' has dtype incompatible with float64, please explicitly cast to a compatible dtype first.
  gdf.update(clusters)
/Users/knaaptime/Dropbox/projects/geosnap/geosnap/analyze/geodemo.py:429: FutureWarning: Setting an item of incompatible dtype is deprecated and will raise in a future error of pandas. Value '['1' '1' '1' ... nan nan nan]' has dtype incompatible with float64, please explicitly cast to a compatible dtype first.
  gdf.update(clusters)
/Users/knaaptime/Dropbox/projects/geosnap/geosnap/analyze/geodemo.py:429: FutureWarning: Setting an item of incompatible dtype is deprecated and will raise in a future error of pandas. Value '['0' '0' '0' ... nan nan nan]' has dtype incompatible with float64, please explicitly cast to a compatible dtype first.
  gdf.update(clusters)
/Users/knaaptime/Dropbox/projects/geosnap/geosnap/analyze/geodemo.py:429: FutureWarning: Setting an item of incompatible dtype is deprecated and will raise in a future error of pandas. Value '['3' '3' '3' ... nan nan nan]' has dtype incompatible with float64, please explicitly cast to a compatible dtype first.
  gdf.update(clusters)
/Users/knaaptime/Dropbox/projects/geosnap/geosnap/analyze/geodemo.py:429: FutureWarning: Setting an item of incompatible dtype is deprecated and will raise in a future error of pandas. Value '['3' '3' '3' ... nan nan nan]' has dtype incompatible with float64, please explicitly cast to a compatible dtype first.
  gdf.update(clusters)
/Users/knaaptime/Dropbox/projects/geosnap/geosnap/analyze/geodemo.py:429: FutureWarning: Setting an item of incompatible dtype is deprecated and will raise in a future error of pandas. Value '['3' '3' '3' ... nan nan nan]' has dtype incompatible with float64, please explicitly cast to a compatible dtype first.
  gdf.update(clusters)
/Users/knaaptime/Dropbox/projects/geosnap/geosnap/analyze/geodemo.py:429: FutureWarning: Setting an item of incompatible dtype is deprecated and will raise in a future error of pandas. Value '['3' '3' '3' ... nan nan nan]' has dtype incompatible with float64, please explicitly cast to a compatible dtype first.
  gdf.update(clusters)
/Users/knaaptime/Dropbox/projects/geosnap/geosnap/analyze/geodemo.py:429: FutureWarning: Setting an item of incompatible dtype is deprecated and will raise in a future error of pandas. Value '['3' '3' '3' ... nan nan nan]' has dtype incompatible with float64, please explicitly cast to a compatible dtype first.
  gdf.update(clusters)
/Users/knaaptime/Dropbox/projects/geosnap/geosnap/analyze/geodemo.py:429: FutureWarning: Setting an item of incompatible dtype is deprecated and will raise in a future error of pandas. Value '['3' '3' '3' ... nan nan nan]' has dtype incompatible with float64, please explicitly cast to a compatible dtype first.
  gdf.update(clusters)
/Users/knaaptime/Dropbox/projects/geosnap/geosnap/analyze/geodemo.py:429: FutureWarning: Setting an item of incompatible dtype is deprecated and will raise in a future error of pandas. Value '['3' '3' '3' ... nan nan nan]' has dtype incompatible with float64, please explicitly cast to a compatible dtype first.
  gdf.update(clusters)
/Users/knaaptime/Dropbox/projects/geosnap/geosnap/analyze/geodemo.py:429: FutureWarning: Setting an item of incompatible dtype is deprecated and will raise in a future error of pandas. Value '['1' '1' '1' ... nan nan nan]' has dtype incompatible with float64, please explicitly cast to a compatible dtype first.
  gdf.update(clusters)
/Users/knaaptime/Dropbox/projects/geosnap/geosnap/analyze/geodemo.py:429: FutureWarning: Setting an item of incompatible dtype is deprecated and will raise in a future error of pandas. Value '['0' '0' '0' ... nan nan nan]' has dtype incompatible with float64, please explicitly cast to a compatible dtype first.
  gdf.update(clusters)
/Users/knaaptime/Dropbox/projects/geosnap/geosnap/analyze/geodemo.py:429: FutureWarning: Setting an item of incompatible dtype is deprecated and will raise in a future error of pandas. Value '['7' '7' '7' ... nan nan nan]' has dtype incompatible with float64, please explicitly cast to a compatible dtype first.
  gdf.update(clusters)
/Users/knaaptime/Dropbox/projects/geosnap/geosnap/analyze/geodemo.py:429: FutureWarning: Setting an item of incompatible dtype is deprecated and will raise in a future error of pandas. Value '['7' '7' '7' ... nan nan nan]' has dtype incompatible with float64, please explicitly cast to a compatible dtype first.
  gdf.update(clusters)
/Users/knaaptime/Dropbox/projects/geosnap/geosnap/analyze/geodemo.py:429: FutureWarning: Setting an item of incompatible dtype is deprecated and will raise in a future error of pandas. Value '['3' '3' '3' ... nan nan nan]' has dtype incompatible with float64, please explicitly cast to a compatible dtype first.
  gdf.update(clusters)
/Users/knaaptime/Dropbox/projects/geosnap/geosnap/analyze/geodemo.py:429: FutureWarning: Setting an item of incompatible dtype is deprecated and will raise in a future error of pandas. Value '['3' '3' '3' ... nan nan nan]' has dtype incompatible with float64, please explicitly cast to a compatible dtype first.
  gdf.update(clusters)
/Users/knaaptime/Dropbox/projects/geosnap/geosnap/analyze/geodemo.py:429: FutureWarning: Setting an item of incompatible dtype is deprecated and will raise in a future error of pandas. Value '['3' '3' '3' ... nan nan nan]' has dtype incompatible with float64, please explicitly cast to a compatible dtype first.
  gdf.update(clusters)
/Users/knaaptime/Dropbox/projects/geosnap/geosnap/analyze/geodemo.py:429: FutureWarning: Setting an item of incompatible dtype is deprecated and will raise in a future error of pandas. Value '['3' '3' '3' ... nan nan nan]' has dtype incompatible with float64, please explicitly cast to a compatible dtype first.
  gdf.update(clusters)
/Users/knaaptime/Dropbox/projects/geosnap/geosnap/analyze/geodemo.py:429: FutureWarning: Setting an item of incompatible dtype is deprecated and will raise in a future error of pandas. Value '['3' '3' '3' ... nan nan nan]' has dtype incompatible with float64, please explicitly cast to a compatible dtype first.
  gdf.update(clusters)
/Users/knaaptime/Dropbox/projects/geosnap/geosnap/analyze/geodemo.py:429: FutureWarning: Setting an item of incompatible dtype is deprecated and will raise in a future error of pandas. Value '['3' '3' '3' ... nan nan nan]' has dtype incompatible with float64, please explicitly cast to a compatible dtype first.
  gdf.update(clusters)
/Users/knaaptime/Dropbox/projects/geosnap/geosnap/analyze/geodemo.py:429: FutureWarning: Setting an item of incompatible dtype is deprecated and will raise in a future error of pandas. Value '['3' '3' '3' ... nan nan nan]' has dtype incompatible with float64, please explicitly cast to a compatible dtype first.
  gdf.update(clusters)
/Users/knaaptime/Dropbox/projects/geosnap/geosnap/analyze/geodemo.py:429: FutureWarning: Setting an item of incompatible dtype is deprecated and will raise in a future error of pandas. Value '['3' '3' '3' ... nan nan nan]' has dtype incompatible with float64, please explicitly cast to a compatible dtype first.
  gdf.update(clusters)
/Users/knaaptime/Dropbox/projects/geosnap/geosnap/analyze/geodemo.py:429: FutureWarning: Setting an item of incompatible dtype is deprecated and will raise in a future error of pandas. Value '['3' '3' '3' ... nan nan nan]' has dtype incompatible with float64, please explicitly cast to a compatible dtype first.
  gdf.update(clusters)
/Users/knaaptime/Dropbox/projects/geosnap/geosnap/analyze/geodemo.py:429: FutureWarning: Setting an item of incompatible dtype is deprecated and will raise in a future error of pandas. Value '['3' '3' '3' ... nan nan nan]' has dtype incompatible with float64, please explicitly cast to a compatible dtype first.
  gdf.update(clusters)
/Users/knaaptime/Dropbox/projects/geosnap/geosnap/analyze/geodemo.py:429: FutureWarning: Setting an item of incompatible dtype is deprecated and will raise in a future error of pandas. Value '['1' '1' '1' ... nan nan nan]' has dtype incompatible with float64, please explicitly cast to a compatible dtype first.
  gdf.update(clusters)
/Users/knaaptime/Dropbox/projects/geosnap/geosnap/analyze/geodemo.py:429: FutureWarning: Setting an item of incompatible dtype is deprecated and will raise in a future error of pandas. Value '['1' '1' '1' ... nan nan nan]' has dtype incompatible with float64, please explicitly cast to a compatible dtype first.
  gdf.update(clusters)
/Users/knaaptime/Dropbox/projects/geosnap/geosnap/analyze/geodemo.py:429: FutureWarning: Setting an item of incompatible dtype is deprecated and will raise in a future error of pandas. Value '['0' '0' '0' ... nan nan nan]' has dtype incompatible with float64, please explicitly cast to a compatible dtype first.
  gdf.update(clusters)
/Users/knaaptime/Dropbox/projects/geosnap/geosnap/analyze/geodemo.py:429: FutureWarning: Setting an item of incompatible dtype is deprecated and will raise in a future error of pandas. Value '['40' '40' '40' ... nan nan nan]' has dtype incompatible with float64, please explicitly cast to a compatible dtype first.
  gdf.update(clusters)
/Users/knaaptime/Dropbox/projects/geosnap/geosnap/analyze/geodemo.py:429: FutureWarning: Setting an item of incompatible dtype is deprecated and will raise in a future error of pandas. Value '['40' '40' '40' ... nan nan nan]' has dtype incompatible with float64, please explicitly cast to a compatible dtype first.
  gdf.update(clusters)
/Users/knaaptime/Dropbox/projects/geosnap/geosnap/analyze/geodemo.py:429: FutureWarning: Setting an item of incompatible dtype is deprecated and will raise in a future error of pandas. Value '['40' '40' '40' ... nan nan nan]' has dtype incompatible with float64, please explicitly cast to a compatible dtype first.
  gdf.update(clusters)
/Users/knaaptime/Dropbox/projects/geosnap/geosnap/analyze/geodemo.py:429: FutureWarning: Setting an item of incompatible dtype is deprecated and will raise in a future error of pandas. Value '['19' '19' '19' ... nan nan nan]' has dtype incompatible with float64, please explicitly cast to a compatible dtype first.
  gdf.update(clusters)
/Users/knaaptime/Dropbox/projects/geosnap/geosnap/analyze/geodemo.py:429: FutureWarning: Setting an item of incompatible dtype is deprecated and will raise in a future error of pandas. Value '['19' '19' '19' ... nan nan nan]' has dtype incompatible with float64, please explicitly cast to a compatible dtype first.
  gdf.update(clusters)
/Users/knaaptime/Dropbox/projects/geosnap/geosnap/analyze/geodemo.py:429: FutureWarning: Setting an item of incompatible dtype is deprecated and will raise in a future error of pandas. Value '['19' '19' '19' ... nan nan nan]' has dtype incompatible with float64, please explicitly cast to a compatible dtype first.
  gdf.update(clusters)
/Users/knaaptime/Dropbox/projects/geosnap/geosnap/analyze/geodemo.py:429: FutureWarning: Setting an item of incompatible dtype is deprecated and will raise in a future error of pandas. Value '['19' '19' '19' ... nan nan nan]' has dtype incompatible with float64, please explicitly cast to a compatible dtype first.
  gdf.update(clusters)
/Users/knaaptime/Dropbox/projects/geosnap/geosnap/analyze/geodemo.py:429: FutureWarning: Setting an item of incompatible dtype is deprecated and will raise in a future error of pandas. Value '['19' '19' '19' ... nan nan nan]' has dtype incompatible with float64, please explicitly cast to a compatible dtype first.
  gdf.update(clusters)
Code
ks_best
silhouette_score calinski_harabasz_score path_silhouette boundary_silhouette davies_bouldin_score
time_period
2021.0 2.0 2.0 2.0 50.0 2.0
Code
ks_table
silhouette_score calinski_harabasz_score davies_bouldin_score path_silhouette boundary_silhouette time_period
k
2.0 0.398151 984.873146 1.142351 0.285660 0.156863 2021.0
3.0 -0.099869 540.893605 1.262321 -0.096397 0.134452 2021.0
4.0 -0.100067 561.134923 2.388560 -0.067966 0.156785 2021.0
5.0 -0.164610 420.742953 15.480583 -0.004911 0.147162 2021.0
6.0 -0.155095 475.288513 12.884447 -0.014573 0.170921 2021.0
7.0 -0.208675 396.009640 15.430332 -0.011200 0.160621 2021.0
8.0 -0.213824 364.579200 5.441137 0.011880 0.164475 2021.0
9.0 -0.232700 322.961558 5.853003 -0.066787 0.161105 2021.0
10.0 -0.232987 287.470732 6.417645 -0.086747 0.154685 2021.0
11.0 -0.213964 331.574073 7.655067 -0.031066 0.153457 2021.0
12.0 -0.244753 308.848240 7.075693 -0.070394 0.157718 2021.0
13.0 -0.290783 283.864933 8.269101 -0.086818 0.152558 2021.0
14.0 -0.316090 262.612153 7.861418 -0.097933 0.151801 2021.0
15.0 -0.308455 244.006804 9.791654 -0.074926 0.146494 2021.0
16.0 -0.307157 229.317140 8.403116 -0.133800 0.144641 2021.0
17.0 -0.300797 219.024637 8.515017 -0.075607 0.148148 2021.0
18.0 -0.298789 209.944401 24.807859 -0.076715 0.156159 2021.0
19.0 -0.289588 220.348970 23.967728 -0.068545 0.171909 2021.0
20.0 -0.274908 209.186327 23.564407 -0.032614 0.163129 2021.0
21.0 -0.279840 199.691378 23.424854 -0.031545 0.162937 2021.0
22.0 -0.255853 201.545893 22.195736 -0.014673 0.167697 2021.0
23.0 -0.275016 194.423510 22.830091 -0.018878 0.176015 2021.0
24.0 -0.309667 185.967568 12.279219 -0.024675 0.177393 2021.0
25.0 -0.315635 178.964613 12.795831 -0.017868 0.181718 2021.0
26.0 -0.314516 171.861709 12.044948 -0.007664 0.177711 2021.0
27.0 -0.314553 165.242128 14.197395 -0.004275 0.177108 2021.0
28.0 -0.313243 159.256630 14.280620 0.015305 0.174091 2021.0
29.0 -0.313989 154.192317 13.858454 0.003477 0.172974 2021.0
30.0 -0.311863 149.725080 13.335031 0.003079 0.172515 2021.0
31.0 -0.325660 154.414694 16.534351 0.010956 0.176604 2021.0
32.0 -0.335385 158.985904 12.875840 0.017671 0.182148 2021.0
33.0 -0.361766 154.640257 13.314907 0.027909 0.184621 2021.0
34.0 -0.357259 166.883390 12.838592 0.022596 0.192891 2021.0
35.0 -0.355503 162.347198 11.599117 0.034238 0.192490 2021.0
36.0 -0.355523 157.719232 12.066668 0.026351 0.192574 2021.0
37.0 -0.364341 153.647442 10.578417 0.006374 0.187733 2021.0
38.0 -0.361290 162.682233 10.919495 0.007034 0.192374 2021.0
39.0 -0.357967 170.534969 10.518244 0.026122 0.197713 2021.0
40.0 -0.353455 168.902762 9.913520 0.028055 0.198374 2021.0
41.0 -0.353114 164.664134 9.978973 0.044299 0.196727 2021.0
42.0 -0.350939 162.513423 11.640883 0.051075 0.199428 2021.0
43.0 -0.362779 159.203538 12.737700 0.052471 0.199332 2021.0
44.0 -0.377136 161.149831 12.429899 0.053939 0.203337 2021.0
45.0 -0.376220 157.745153 16.061967 0.047712 0.201914 2021.0
46.0 -0.414931 154.314938 16.739235 0.043448 0.203588 2021.0
47.0 -0.414015 152.024407 16.571391 0.045772 0.203538 2021.0
48.0 -0.425031 154.389852 17.464038 0.045859 0.204954 2021.0
49.0 -0.440513 155.331230 17.239211 0.045496 0.206206 2021.0
50.0 -0.438646 154.086244 17.601186 0.058159 0.206675 2021.0
Code
ks_table.columns
Index(['silhouette_score', 'calinski_harabasz_score', 'davies_bouldin_score',
       'path_silhouette', 'boundary_silhouette', 'time_period'],
      dtype='object')
Code
f, ax = plt.subplots(2, 3, figsize=(15, 10))
ax = ax.flatten()

for i, metric in enumerate(ks_table.columns.values):
    ks_table[metric].plot(ax=ax[i])
    ax[i].set_title(metric)

Whereas the general silhouette score (and the other general cluster metrics) decrease steadily is the number of clusters increases (because we start to split hairs into super specialized types), the geosilhouettes, especially the boundary silhouette generally increase as n_clusters increases because it becomes easier and easier to differentiate units from nearby units as you consider smaller and smaller neighborhoods.

In addition to the set of compositional attributes, a crucial input to regionalization algorithms is the spatial weights parameter (W), which defines the “geographic similarity” between units. Generally, the goal of regionalization algorithms is to define a distinct, contiguous [set of] region(s), which usually means using a contiguity-based W object (and as such, the default W is a Rook weight). But it is also possible to relax the contiguity enforcement using something like a distance-band weight, which would group nearby observations even if they are not necessarily touching each other.

Code
from libpysal.weights import DistanceBand

la_distance_band = gaz.regionalize(
    gdf=la,
    columns=columns,
    method="ward_spatial",
    n_clusters=25,
    spatial_weights=DistanceBand,
    weights_kwargs=dict(threshold=2000),
)

la_distance_band[["ward_spatial", "geometry"]].explore(
    "ward_spatial", categorical=True, tiles="CartoDB Positron"
)
/Users/knaaptime/miniforge3/envs/urban_analysis/lib/python3.12/site-packages/libpysal/weights/util.py:826: UserWarning: The weights matrix is not fully connected: 
 There are 107 disconnected components.
 There are 91 islands with ids: 10, 14, 15, 52, 828, 831, 833, 1012, 1078, 1085, 1086, 1087, 1089, 1146, 1255, 1277, 1283, 1467, 1468, 1471, 1489, 1706, 1944, 2112, 2115, 2117, 2166, 2167, 2168, 2169, 2171, 2174, 2175, 2178, 2179, 2180, 2182, 2183, 2184, 2185, 2186, 2187, 2188, 2189, 2190, 2191, 2193, 2214, 2215, 2221, 2226, 2227, 2228, 2230, 2231, 2232, 2233, 2234, 2236, 2237, 2238, 2242, 2243, 2246, 2260, 2270, 2272, 2273, 2274, 2275, 2276, 2277, 2278, 2284, 2296, 2302, 2303, 2304, 2305, 2306, 2314, 2316, 2317, 2318, 2319, 2321, 2323, 2330, 2331, 2336, 2337.
  w = W(neighbors, weights, ids, **kwargs)
/Users/knaaptime/miniforge3/envs/urban_analysis/lib/python3.12/site-packages/libpysal/weights/distance.py:844: UserWarning: The weights matrix is not fully connected: 
 There are 107 disconnected components.
 There are 91 islands with ids: 10, 14, 15, 52, 828, 831, 833, 1012, 1078, 1085, 1086, 1087, 1089, 1146, 1255, 1277, 1283, 1467, 1468, 1471, 1489, 1706, 1944, 2112, 2115, 2117, 2166, 2167, 2168, 2169, 2171, 2174, 2175, 2178, 2179, 2180, 2182, 2183, 2184, 2185, 2186, 2187, 2188, 2189, 2190, 2191, 2193, 2214, 2215, 2221, 2226, 2227, 2228, 2230, 2231, 2232, 2233, 2234, 2236, 2237, 2238, 2242, 2243, 2246, 2260, 2270, 2272, 2273, 2274, 2275, 2276, 2277, 2278, 2284, 2296, 2302, 2303, 2304, 2305, 2306, 2314, 2316, 2317, 2318, 2319, 2321, 2323, 2330, 2331, 2336, 2337.
  W.__init__(
/Users/knaaptime/Dropbox/projects/geosnap/geosnap/analyze/geodemo.py:429: FutureWarning: Setting an item of incompatible dtype is deprecated and will raise in a future error of pandas. Value '['18' '18' '18' ... nan nan nan]' has dtype incompatible with float64, please explicitly cast to a compatible dtype first.
  gdf.update(clusters)
Make this Notebook Trusted to load map: File -> Trust Notebook
Code
f, ax = plt.subplots(2, 3, figsize=(11, 10))
ax = ax.flatten()
la = la.to_crs(la.estimate_utm_crs())
for i, k in enumerate(cluster_types):
    df = gaz.regionalize(
        gdf=la,
        method=k,
        columns=columns,
        spatial_weights=DistanceBand,
        n_clusters=25,
        scaler=MinMaxScaler(),
        weights_kwargs=dict(use_index=True, threshold=2000, silence_warnings=True),
        region_kwargs=dict(gamma=0.25),
    )
    df.to_crs(3857).sort_values(k).plot(k, categorical=True, figsize=(7, 7), ax=ax[i])
    ax[i].axis("off")
    ax[i].set_title(k, fontsize=14)
    ctx.add_basemap(ax=ax[i], source=ctx.providers.CartoDB.Positron)
    plt.tight_layout()
/Users/knaaptime/Dropbox/projects/geosnap/geosnap/analyze/geodemo.py:429: FutureWarning: Setting an item of incompatible dtype is deprecated and will raise in a future error of pandas. Value '['16' '16' '16' ... nan nan nan]' has dtype incompatible with float64, please explicitly cast to a compatible dtype first.
  gdf.update(clusters)
/Users/knaaptime/Dropbox/projects/geosnap/geosnap/analyze/geodemo.py:429: FutureWarning: Setting an item of incompatible dtype is deprecated and will raise in a future error of pandas. Value '['1' '1' '1' ... nan nan nan]' has dtype incompatible with float64, please explicitly cast to a compatible dtype first.
  gdf.update(clusters)
/Users/knaaptime/Dropbox/projects/geosnap/geosnap/analyze/geodemo.py:429: FutureWarning: Setting an item of incompatible dtype is deprecated and will raise in a future error of pandas. Value '['0' '0' '0' ... nan nan nan]' has dtype incompatible with float64, please explicitly cast to a compatible dtype first.
  gdf.update(clusters)
/Users/knaaptime/Dropbox/projects/geosnap/geosnap/analyze/geodemo.py:429: FutureWarning: Setting an item of incompatible dtype is deprecated and will raise in a future error of pandas. Value '['10' '10' '10' ... nan nan nan]' has dtype incompatible with float64, please explicitly cast to a compatible dtype first.
  gdf.update(clusters)
/Users/knaaptime/Dropbox/projects/geosnap/geosnap/analyze/geodemo.py:429: FutureWarning: Setting an item of incompatible dtype is deprecated and will raise in a future error of pandas. Value '['0.0' '0.0' '0.0' ... nan nan nan]' has dtype incompatible with float64, please explicitly cast to a compatible dtype first.
  gdf.update(clusters)